牧马之曲谱(3)
中外歌曲视唱练耳 22 牧马之歌
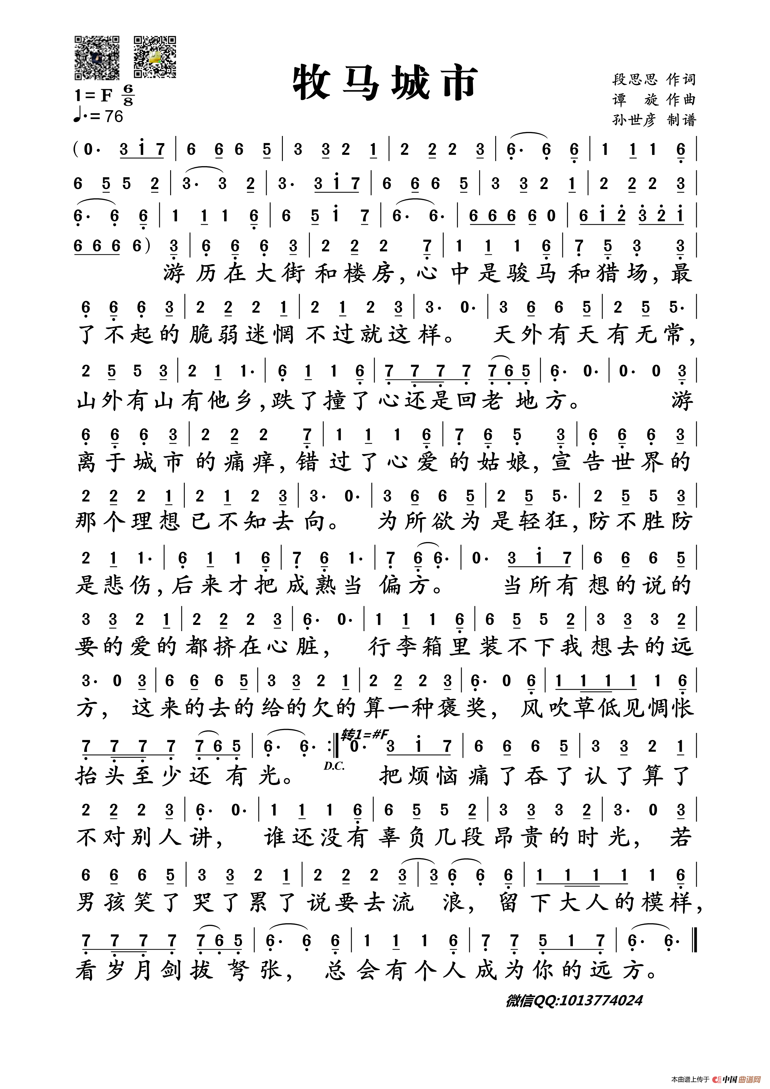
牧马城市
牧马城市吉他谱 六线谱 器乐乐谱 中国曲谱网
牧马少年
ZY070509周宗汉 1935 1982 记录整理 蒙古族四胡曲谱手稿等十七页 收 牧马青年 等曲谱六和种
牧马少年二胡谱 胡琴谱 二胡 扬琴 器乐乐谱 中国曲谱网
ZY070509周宗汉 1935 1982 记录整理 蒙古族四胡曲谱手稿等十七页 收 牧马青年 等曲谱六和种
毛不易 牧马城市 吉他谱
全部商品 南皮古城书店 孔夫子旧书网
孔网分类
卡农 简单和弦版 钢琴谱
我思念的城市简谱
牧马1 8
上一篇:制成曲谱_钢琴简单曲谱
下一篇:电子管曲谱_电子管收音机












