京胡伴奏曲谱_京剧曲谱网京胡伴奏谱(4)

栏目:曲谱图 发布时间:2023-02-20 02:54 浏览次数:

京胡伴奏曲谱_京剧曲谱网京胡伴奏谱(4)

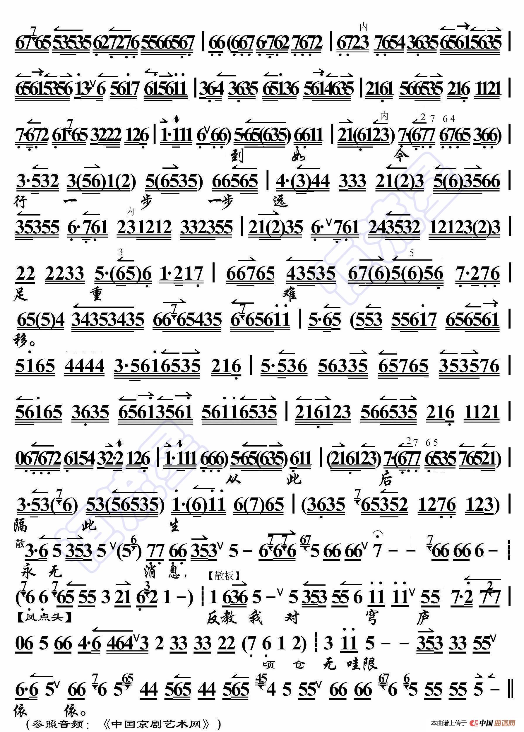
杜鹃山 乱云飞 京胡伴奏谱

京胡伴奏曲谱_京剧曲谱网京胡伴奏谱(4)

红灯记 都有一颗红亮的心 京胡伴奏谱

京胡伴奏曲谱_京剧曲谱网京胡伴奏谱(4)

京胡伴奏 –

京胡伴奏曲谱_京剧曲谱网京胡伴奏谱(4)

望江亭 见贼子不由我怒容满面 京胡伴奏谱

京胡伴奏曲谱_京剧曲谱网京胡伴奏谱(4)

夜深沉 京胡 伴奏

京胡伴奏曲谱_京剧曲谱网京胡伴奏谱(4)

文姬归汉 整归鞭行不尽天山万里 京胡伴奏谱

京胡伴奏曲谱_京剧曲谱网京胡伴奏谱(4)

王离了龙书案京剧唱谱 上天台 刘秀唱段 琴谱




推荐乐谱