不愿曲谱_我不愿说再见曲谱
我不愿离去
原创音乐曲谱 不愿看到你流泪 邓智星词 凡音曲 Powered by Discuz
不愿放开你的手 孙露 简谱
不愿离去的家简谱图片格式
我不愿失去简谱
原创音乐曲谱 不愿放弃 梅兼毓曲 Powered by Discuz
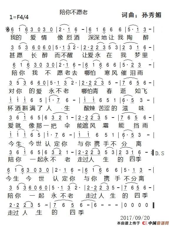
陪你不愿老
追梦人可听凤飞飞歌谱简谱
愿年年如此日不老长生戏曲谱 拉魂腔 戏曲曲谱 中国曲谱网
周华健 亲亲我的宝贝 吉他谱G调 专辑 不愿一个人 单曲 与歌词
不愿看到你流泪简谱 桃李醉春风个人制谱园地 中国曲谱网
遥不可及的你吉他谱 C调 花粥 弹唱谱
不愿红尘错过你 赵荣誉词 赵荣誉 吴易航曲
愿做桂林人不愿做神仙
愿君真爱不相欺简谱图片格式
不愿再回头
我不愿意
不愿再为你流泪简谱 桃李醉春风个人制谱园地 中国曲谱网
沧海一声笑 古琴曲谱 古琴初级曲谱
我不愿让你一个人的吉他谱
留在长白不愿归
     上一篇:越歌的曲谱_越努力越幸运图片 
     下一篇:寅次郎曲谱_菊次郎的夏天钢琴曲谱 
                                   
                                  
                                

















