献给祖国曲谱_歌唱祖国曲谱
把青春献给祖国简谱图片格式
唱给祖国简谱 袁尧词 杜涓曲 民歌曲谱 中国曲谱网
我和祖国 献给祖国的歌简谱 李木生词 赵恕心曲 民歌曲谱 中国曲谱网
表达对偶像的爱的句子 写给偶像的唯美短句
把情歌唱给祖国简谱图片格式
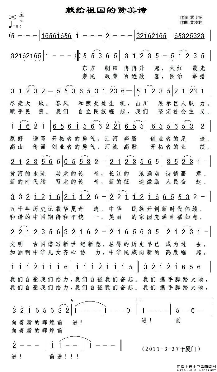
献给祖国的赞美诗简谱 民歌曲谱 中国曲谱网
献给祖国简谱 南思词 王林金曲 民歌曲谱 中国曲谱网
原创音乐曲谱 再发一首歌曲 心中的爱献给祖国 ,王自海词,海舟曲 Powered by Discuz
献给母亲,献给祖国
心中的歌唱给祖国 高岩词 董其英曲
心儿献给你,祖国妈妈
凡人歌电视剧碧海情天主题曲李宗盛歌谱简谱
最美的歌唱给祖国
给祖国拜年简谱图片格式
献给 祖国母亲 的歌 唯美.深情次中音萨克斯音乐
把最美的歌儿献给祖国
嘟嘟歌声里的祖国 歌声里的中国 红旗飘飘
我给祖国唱支最美的歌
抗疫主题歌曲 为祖国加油 发布,献给这个春天最美的人
团结的花环献给祖国
原创音乐曲谱 把情歌唱给祖国 刘志毅 词 张朱论 曲 Powered by Discuz
     上一篇:上山歌曲谱子_光遇歌曲谱子 
     下一篇:柔王源曲谱_王源钢琴曲谱 
                                   
                                  
                                

















