公子曲谱_原神公子图片
河北梆子 杜十娘 听公子他对我说一声
哭一声商公子啊 秦雪梅 吊孝 选段
三少爷的剑笛子曲曲谱给我发一遍吧 QQ850760800
三少爷的剑笛子曲谱
哭一声商公子啊 秦雪梅 吊孝 选段
哭一声商公子啊 秦雪梅 吊孝 选段
伞下铭 最新曲谱 封茗囧菌 洛少爷
自从公子闯下祸 投衙 曲谱 桑振君 6
三少爷的剑笛子曲谱
三少爷的剑笛子曲谱
哭一声商公子啊 秦雪梅 吊孝 选段
小提琴降3个b指法
一首很火的神曲 公子向北走 ,会唱歌的简谱
兄弟想你了 吉他谱 C调原版六线谱 抖音越南版 潇公子 刘潇
自从公子闯下祸 投衙 曲谱 桑振君 6
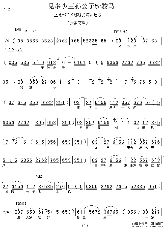
见多少王孙公子骑骏马戏曲谱 姐妹易嫁 选段 戏曲曲谱 中国曲谱网
听公子他对我说一声 杜十娘 唱段
自从公子闯下祸投衙 桑振君 6 自从公子闯下祸投衙 桑振君 6简谱 自从公子闯下祸投衙 桑振君 6吉他谱 钢琴谱 查字典简谱网
公子的花轿钢琴谱 独奏谱 纨绔公子 钢琴独奏视频 原版钢琴谱 乐谱 曲谱 五线谱 六线谱 高清免费下载
最浪漫的事钢琴谱 独奏谱 赵咏华 钢琴独奏视频 原版钢琴谱 乐谱 曲谱 五线谱 六线谱 高清免费下载
相送公子出院门 玉堂春 选段
     上一篇:迟到歌词曲谱_我和我的祖国歌词 
     下一篇:莫等待曲谱_莫等待许冠杰简谱 
                                   
                                  
                                


















