亘古谣曲谱_钢琴简单曲谱(3)
太行谣
乌江谣简谱 秋叶起舞个人制谱园地 中国曲谱网
梅里谣 女民通独唱
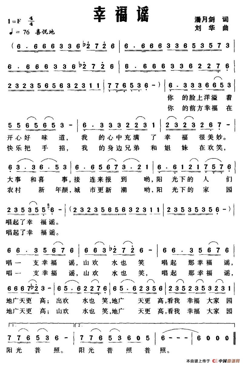
幸福谣简谱 潘月剑词 刘华曲 民歌曲谱 中国曲谱网
跪求许嵩的雪花谣吉他谱,只有右手的指法也行
原创音乐曲谱 退休谣 单来民 词 张朱论 曲 Powered by Discuz
原创音乐曲谱 光棍谣 Powered by Discuz
江南瑶 蒋开儒词 印青曲 小锐二胡版
我们的歌谣 凤凰版
陈星新打工谣简谱,陈星新打工谣歌谱,陈星新打工谣歌词,曲谱,琴谱,总谱
曲谱上传 下载 矿工谣 孙向岭 Powered by Discuz
思乡曲 长江月光谣成方版曲谱
     上一篇:白鸟曲谱_光遇白鸟图片 
     下一篇:心跳跳曲谱_心跳光之美少女 
                                   
                                  
                                










