红杉谷曲谱_丰田红杉
山谷吟 曲谱 2
我家就在沅陵住 曲谱 急求
钢琴曲谱 约翰 汤普森 谷仓舞
圆号独奏曲谱 谷
雪球树在山谷近旁简谱 二声部 瓦莲金娜个人制谱园地 中国曲谱网
哈巴谷信心之歌简谱 找歌谱网
爱的阳光简谱 谷季丰词 谷继业曲 谱友园地 中国曲谱网
水兵梦里海蓝蓝 彭子柱词 谷继业曲
我爹爹多年征战黄梅戏谱 惊天一兰 中谷兰唱段 戏曲曲谱 中国曲谱网
吕昭炫作品集 山谷琴声吉他谱 六线谱 器乐乐谱 中国曲谱网
吕昭炫作品集 山谷琴声吉他谱 六线谱 器乐乐谱 中国曲谱网
赣南闽西红色歌曲 收了谷子送军粮简谱 民歌曲谱 中国曲谱网
绿色的山谷 二胡曲谱
绿色的山谷 二胡曲谱
幽幽海谷情
风の谷のナウシカ钢琴谱 C调独奏谱 久石让 钢琴独奏视频 原版钢琴谱 乐谱 曲谱 五线谱 六线谱 高清免费下载
峡谷明珠放光彩古筝谱图片格式 古筝谱
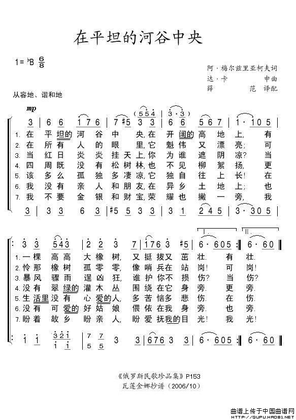
在平坦的河谷中央 俄
荷花开 谷兴建词 姚晓强曲
峡谷明珠放光彩古筝谱图片格式 古筝谱
青谷子 赵大为词 张艺军曲
     上一篇:爆浆神曲谱子_长笛谱子抖音神曲 
     下一篇:相思如茶曲谱_相思古诗图片 
                                   
                                  
                                
















