织布娘曲谱_不织布手工作品图片
老娘亲不必泪纷纷戏曲谱 探窑 王宝钏唱段 戏曲曲谱 中国曲谱网
瑞娘泪
故乡啊 我的亲娘简谱 叶金剑个人制谱园地 中国曲谱网
美姑娘闻花香简谱 通俗曲谱 中国曲谱网
我不能扔下穷爹奔富娘戏曲谱 走出大山 选段 戏曲曲谱 中国曲谱网
歌剧 忆娘 选曲 今日方是认母时戏曲谱 戏曲曲谱 中国曲谱网
歌剧 忆娘 选曲 今日方是认母时戏曲谱 戏曲曲谱 中国曲谱网
副 江头金桂戏曲谱 磨房会 李三娘唱段 戏曲曲谱 中国曲谱网
白发亲娘二胡谱 胡琴谱 器乐乐谱 中国曲谱网
老娘不必泪纷纷戏曲谱 探窑 选段 戏曲曲谱 中国曲谱网
娘 李超 歌谱 简谱
荆钗记 见娘戏曲谱 戏曲曲谱 中国曲谱网
有娘叫,最幸福简谱 王培元词 王立曲 民歌曲谱 中国曲谱网
儿是娘的梦
原创音乐曲谱 想亲娘 Powered by Discuz
杂碎叠板四句连戏曲谱 选自 陈三五娘 戏曲曲谱 中国曲谱网
喀什葛尔新娘 葫芦丝曲谱
火辣辣的娘们简谱 绿水青山个人制谱园地 中国曲谱网
国仇家恨娘刻心戏曲谱 梁玉娘 梁玉娘唱段 戏曲曲谱 中国曲谱网
想你啊,我的娘简谱 任秀岭原创曲谱专栏 中国曲谱网
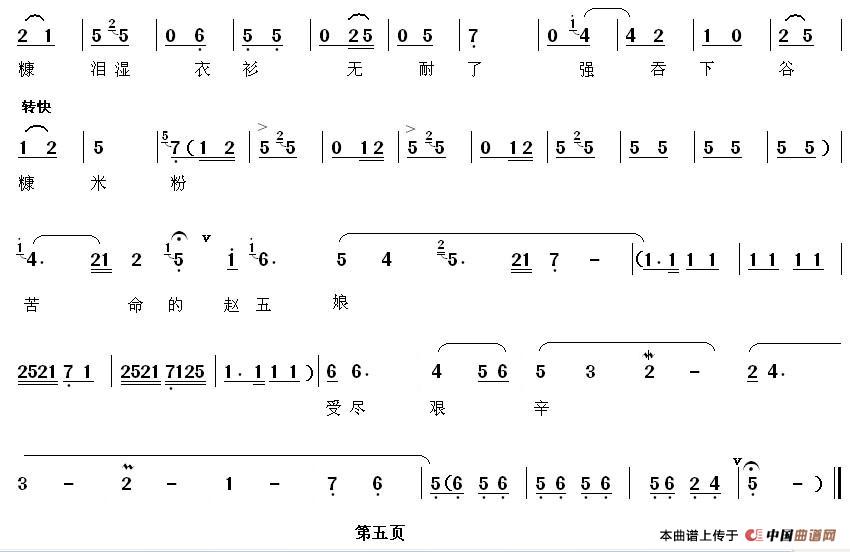
赵五娘端穅婉珠泪滚滚 赵五娘吃糠 选段
     上一篇:杂诗曲谱_己亥杂诗 
     下一篇:保重的曲谱_保重身体图片 
                                   
                                  
                                

















