亲爱的祖国简谱_我和我亲爱的祖国简谱
啊 我亲爱的祖国
祖国啊,我亲爱的祖国 倪永东词 茅第曲
祖国,我亲爱的祖国 倪永东词 张新用曲
我最亲爱的祖国 杨学超作品
奉献给亲爱的祖国
亲爱的祖国简谱 邵永强词 楚兴元曲 美声曲谱 中国曲谱网
亲爱的祖国
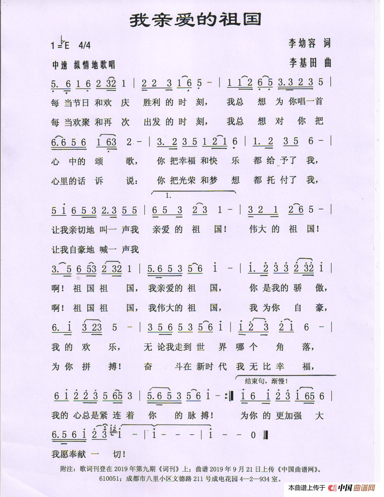
我亲爱的祖国
为祖国祝寿简谱 车行词 王猛曲 秋叶起舞个人制谱园地 中国曲谱网
奉献给亲爱的祖国
这首刷屏的赞歌,唱出我们心中的家国
祖国 我亲爱的妈妈 蒋卓桦词 杨东亮曲
我亲爱的祖国 钟庆生词 钟庆生 吕小步曲
亲爱的老爸
请问谁有 祝福你,我亲爱的祖国 曲谱 急用
亲爱的祖国 张延道词张延道曲
关于祖国的格言
真挚热烈的赞歌 我和我的祖国
亲爱的祖国
我亲爱的祖国 张永红词 张永强曲
歌唱祖国歌词,歌谱
     上一篇:圣桑简谱_圣桑天鹅简谱 
     下一篇:rose简谱_rose朴彩英gone简谱 
                                   
                                  
                                

















