远走高飞简谱_远走高飞简谱歌谱
远走高飞张杰歌谱简谱
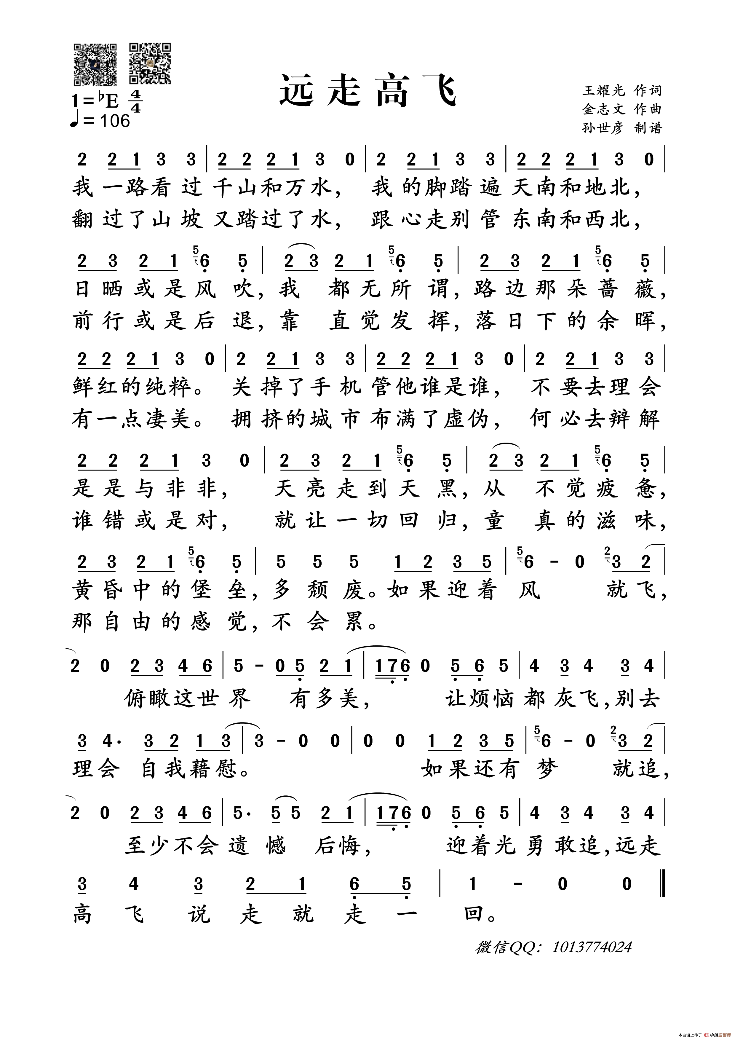
远走高飞 王耀光词 金志文曲
远走高飞
远走高飞吉他谱金志文原版六线谱高清弹唱谱 图片谱 易唱网
远走高飞金志文图片 远走高飞金志文图片大全 社会热点图片 非主流图片站
远走高飞吉他谱 曲谱 查字典简谱网
远走高飞 金志文双手简谱预览 EOP在线乐谱架
京剧 沙家浜 全剧琴谱 唱谱 第21 25页
远走高飞 原版乐谱,拿走不谢
弹琴吧 远走高飞 吉他谱
远走高飞BT版 远走高飞 远走高飞满V版 点友系
弹琴吧 远走高飞 吉他谱
远走高飞 原版乐谱,拿走不谢
远走高飞
音乐 远走高飞,金志文吉他谱首发哦??????求谱点赞评论666 音乐视频 非著名音乐人的美拍
远走高飞 节奏
远走高飞 节奏
远走高飞 节奏
远走高飞 金志文 尤克里里弹唱谱
教学 远走高飞 简单版 带劲的那种
远走高飞 原版乐谱
上一篇:简谱天下_天下简谱张杰
下一篇:我钢琴简谱_儿歌钢琴简谱


















