• 首页
  • 器乐谱
  • 声乐
  • 其他曲谱
  • 歌词大全

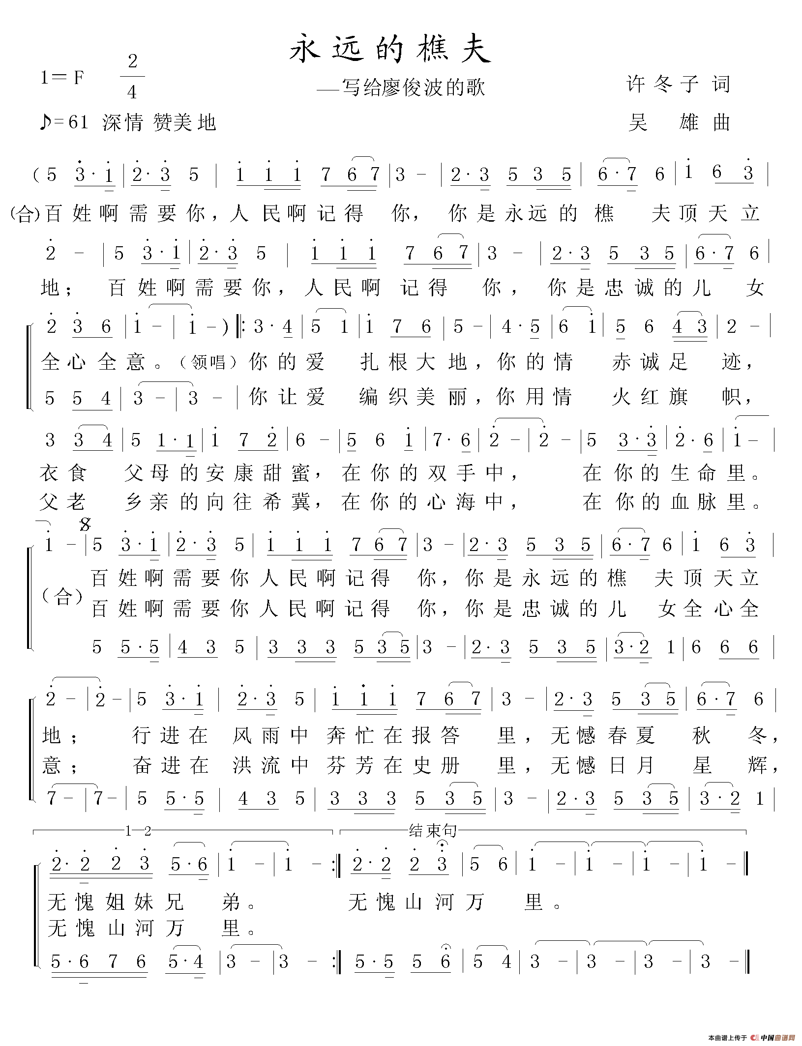
永远的樵夫

栏目:合唱 发布时间:2022-04-28 12:14 浏览次数:

  永远的樵夫

永远的樵夫


标签:

上一篇:呼伦贝尔大草原简谱(乌兰托嘎曲作曲) 下一篇:澜沧江(混声合唱)合唱谱

推荐乐谱


  • 太阳光芒照瑶寨合唱曲谱(白诚仁编曲作曲)
  • 运动员进行曲(无伴奏合唱)_1
  • 春江南简谱(冉茂华作曲)
  • 我们是红色青年合唱谱
  • 博山镇之歌合唱谱
  • 茫茫的高原上(男女声二重唱)合唱谱
  • 幸福大道
  • 为三峡工程建设者干杯合唱谱
  • [白俄罗斯]妈妈要我出嫁合唱谱

最新


推荐


热谱


  • 二胡乐谱曲谱 北风吹(歌剧《白毛女》选曲)
  • 京剧戏曲谱 誓把反动派一扫光(《智取威虎山》选段
  • 京剧戏曲谱 光辉照儿永向前(《红灯记》李铁梅唱段
  • 二胡乐谱曲谱 江南春色(朱昌耀、马熙林曲)
  • 京剧戏曲谱 《梁山伯与祝英台》祝英台唱段:彩蝶飞
  • 豫剧戏曲谱 亲家母(豫剧《朝阳沟》选段 王迎迎演
  • 京剧戏曲谱 二黄曲牌练习 :小开门、八板、八岔、
  • 二胡乐谱曲谱 我的祖国(二胡二重奏 影片《上甘岭
  • 京剧戏曲谱 春风送暖桃花艳(京歌 刘春爱词曲)
  • 京剧戏曲谱 宫廷静寂影孤单(《赵氏孤儿》选段、琴

标签


女儿 独奏 那个 我们 青年 对照 太湖 一起 一人 大家 Maria 西口 骏马 宝贝 多年 明月 葡萄 世界 天上 教程 黄水 忘记 轻 唱歌 桃花 河南 啦 不是 翅膀 高山 爱人 总是 不同 相见 以后 爱的 巧辩 构成 儿童 恩情 无限 潮水 北方 孔雀 瓦河 道路 温柔 不必 花开 十月

器乐谱

  • 钢琴
  • 长笛
  • 手风琴
  • 电子琴
  • 萨克斯
  • 葫芦丝

声乐

  • 通俗
  • 儿歌
  • 合唱
  • 民歌
  • 美声
  • 戏曲

其他曲谱

  • 简谱大全
  • 原创曲谱
  • 个人制谱
  • 国外曲谱
  • 其他乐谱
  • 曲谱图

歌词大全

Copyright © 2002-2024 曲谱中国网 版权所有 网站地图