你是风儿我是沙修正版吉他谱
你是风儿我是沙修正版吉他谱该歌谱演奏者为林心如 周杰
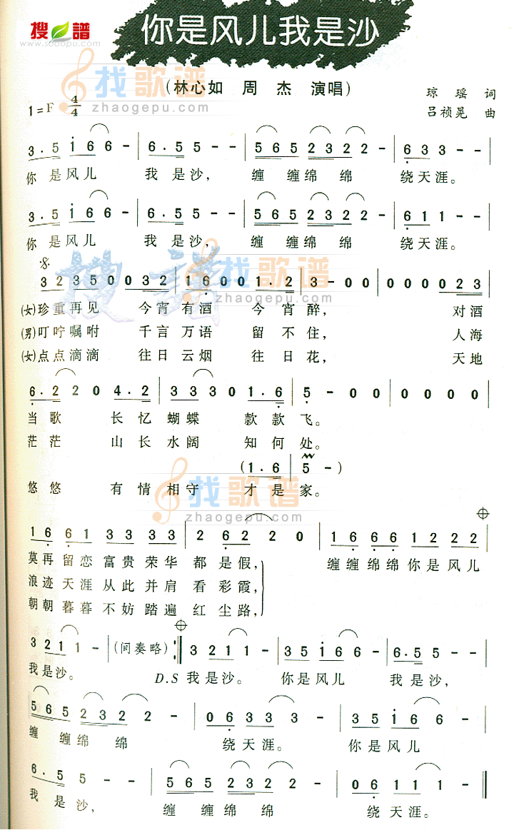
,歌曲名称为你是风儿我是沙,歌谱类型为吉他谱。《你是风儿我是沙》是电视剧《还珠格格2》的片尾曲之一、《新还珠格格》插曲之一,综艺节目《我们都爱笑》和《咱们穿越吧》背景音乐之一,琼瑶作词,吕祯晃作曲,《还珠格格2》中由周杰与林心如联袂演唱,《新还珠格格》中由张睿与李晟联袂演唱。这是一首缠绵的爱情歌曲,表达了相爱男女之间的深深依恋与款款柔情。
你是风儿我是沙 缠缠绵绵绕天涯
你是风儿我是沙 缠缠绵绵绕天涯
珍重再见 今宵有酒今宵醉
对酒当歌 长忆蝴蝶款款飞
莫再留恋 富贵荣华都是假
缠缠绵绵 你是风儿我是沙
你是风儿我是沙 缠缠绵绵绕天涯
你是风儿我是沙 缠缠绵绵绕天涯
叮咛嘱咐 千言万语留不住
人海茫茫 山长水阔知何处
浪迹天涯 从此并肩看彩霞
缠缠绵绵 你是风儿我是沙
点点滴滴 往日云烟往日花
天地悠悠 有情相守才是家
朝朝暮暮 不妨踏遍红尘路
缠缠绵绵 你是风儿我是沙
你是风儿我是沙 缠缠绵绵绕天涯
你是风儿我是沙 缠缠绵绵绕天涯
琼瑶,原名陈喆,湖南衡阳人。父母都是教师,自幼优爱好文学,1947年曾在《大公报》儿童版发表小说《可怜的小青》。1949年随家人到台湾,1954年开始在台湾发表小说和散文。台北一女中高中毕业后没有考上大学,从此全力投入写作。早期作品后来编入《幸运草》、《潮声》两本短篇小说集。1963年出版第一部长篇小说《窗外》,写的是师生相恋的故事。从此以后几乎每年都有两三部长篇小说问世,现已出版著作40多种,经常再版,许多作品都改编为电影电视,是台湾著作最畅销的作家之一。她曾说,自己比较满意的是1966年出版的《几度夕阳红》。
你是风儿我是沙(林心如、周杰)简谱
:你是风儿我是沙(林心如、周杰)简谱该歌谱演奏者为周杰,林心如 ,歌曲名称为你是风儿我是沙,歌谱类型为。《你是风儿我是沙》是电视剧《还珠格格2》的片尾曲之一、《新还珠格格》插曲之一,综艺节目《我们都爱笑》和《咱们穿越吧》背景音乐之一,琼瑶作词,吕祯晃作曲,《还珠格格2》中由周杰与林心如联袂演唱,《新还珠格格》中由张睿与李晟联袂演唱。这是一首缠绵的爱情歌曲,表达了相爱男女之间的深深依恋与款款柔情。你是风儿我是沙(《还珠格格》插曲)简谱
:你是风儿我是沙(《还珠格格》插曲)简谱该歌谱演奏者为吕祯晃 ,歌曲名称为你是风儿我是沙,歌谱类型为。《你是风儿我是沙》是电视剧《还珠格格2》的片尾曲之一、《新还珠格格》插曲之一,综艺节目《我们都爱笑》和《咱们穿越吧》背景音乐之一,琼瑶作词,吕祯晃作曲,《还珠格格2》中由周杰与林心如联袂演唱,《新还珠格格》中由张睿与李晟联袂演唱。这是一首缠绵的爱情歌曲,表达了相爱男女之间的深深依恋与款款柔情。你是风儿我是沙(电视剧《还珠格格》插曲)简谱
:你是风儿我是沙(电视剧《还珠格格》插曲)简谱该歌谱演奏者为周杰/林心如,歌曲名称为你是风儿我是沙,歌谱类型为。《你是风儿我是沙》是电视剧《还珠格格2》的片尾曲之一、《新还珠格格》插曲之一,综艺节目《我们都爱笑》和《咱们穿越吧》背景音乐之一,琼瑶作词,吕祯晃作曲,《还珠格格2》中由周杰与林心如联袂演唱,《新还珠格格》中由张睿与李晟联袂演唱。这是一首缠绵的爱情歌曲,表达了相爱男女之间的深深依恋与款款柔情。