日照金山曲谱_日照金山图片
一轮红日照胸间戏曲谱 龙江颂 选段 戏曲曲谱 中国曲谱网
韶峰红日照万山简谱 sunzp个人制谱园地 中国曲谱网
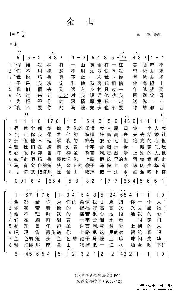
金山简谱 俄 瓦莲金娜个人制谱园地 中国曲谱网
你我金山分别后戏曲谱 三拜堂 选段 戏曲曲谱 中国曲谱网
1级古筝曲谱
求 北京金山上 歌谱 简谱
在北京的金山上 胡琴 在北京的金山上 胡琴简谱 在北京的金山上 胡琴吉他谱 钢琴谱 查字典简谱网
二胡曲谱 北京的金山上和在北京的金山上是一个吗
二胡D调曲谱在北京的金山上
日照金山四部曲 泛微红 变亮浅红 再亮成金黄 最后成纯白
日照金山四部曲 泛微红 变亮浅红 再亮成金黄 最后成纯白
在北京的金山上二胡 在北京的金山上二胡简谱 在北京的金山上二胡吉他谱 钢琴谱 查字典简谱网
北京的金山上 二胡曲谱
七彩长虹架过来简谱 日照职业技术学院院歌 赵世贵个人制谱园地 中国曲谱网
一轮红日照胸间京剧唱 一轮红日照胸间京剧唱简谱 一轮红日照胸间京剧唱吉他谱 钢琴谱 查字典简谱网
毛泽东颂歌联唱简谱 我的曲谱个人制谱园地 中国曲谱网
毛泽东颂歌联唱简谱 我的曲谱个人制谱园地 中国曲谱网
绿水青山,金山银山
绿水青山,金山银山
金山梦 主题曲二胡曲谱 王国潼订谱
水漫金山 林川词 吴小平曲
     上一篇:6孔陶笛画心曲谱 
     下一篇:天上的声音曲谱泽旺多吉 
                                   
                                  
                                















