随机曲谱_钢琴简单曲谱
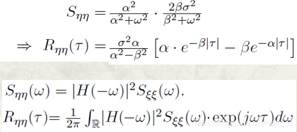
随机过程笔记 7 平稳过程谱分析 2
全音乐剧总谱 Wicked 邪恶坏女巫全剧乐队总谱 原版
随机信号处理之现代法谱估计MATLAB与Python实现.pdf 专业指导文档类资源 CSDN下载
随机过程笔记 7 平稳过程谱分析 2
知识点总结 现代信号处理 第二章 随机信号谱估计
La La Land Medley交响管乐总谱
随机过程笔记 7 平稳过程谱分析 2
深蓝的随机数,深蓝的随机数钢琴谱,深蓝的随机数钢琴谱网,深蓝的随机数钢琴谱大全,虫虫钢琴谱下载
2014义务教育教科书课本教材音乐七年级上册五线谱人音版
Ukulele弹唱.歌谱 你给我听好 陈奕迅 张碧晨
随机过程笔记 7 平稳过程谱分析 2
随机振动与谱分析概论
大维随机矩阵的谱分析理论
随机过程笔记 7 平稳过程谱分析 2
随机过程笔记 7 平稳过程谱分析 2
随机过程笔记 7 平稳过程谱分析 2
随机过程笔记 7 平稳过程谱分析 2
马瑟 穆勒18首练习曲萨克斯谱1 18 18 Exercicios ou Estudos de Marcel Mule Enelruy Lira
大维随机矩阵的谱分析理论
欢乐颂 儿童尤克里里欣赏与学习视频及高清乐谱分享
大维随机矩阵的谱分析理论
     上一篇:董玉兰曲谱_钢琴简单曲谱 
     下一篇:当歌词曲谱_钢琴简单曲谱 
                                   
                                  
                                


















