旅行简谱_旅行简谱许巍
带你去旅行简谱
请到哈密来旅游简谱 谱友园地 中国曲谱网
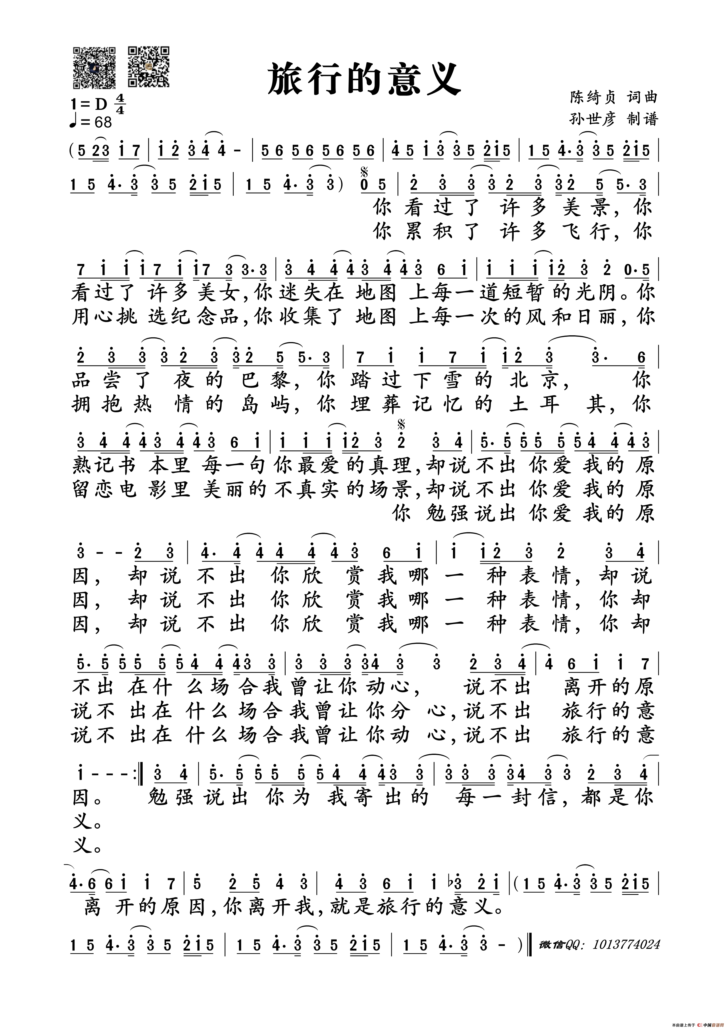
旅行的意义
带你去旅行简谱
世界是旅行地方 歌谱 恩泉佳音 赞美诗网
世界是旅行地方 歌谱 雅歌 赞美诗网
愉快的旅行简谱
一起去繁华的上海和北京是什么歌
心灵旅行,心灵旅行钢琴谱,心灵旅行钢琴谱网,心灵旅行钢琴谱大全,虫虫钢琴谱下载
364世界是旅行地方简谱
弹奏 带你去旅行 的精华旋律 世界那么大,我想去看看
旅行布道乐安然简谱 找歌谱网
旅行之歌
愉快的旅行简谱
原创音乐曲谱 文明旅游我最美 郝一词,李志明曲 Powered by Discuz
在琴键上旅行,在琴键上旅行钢琴谱,在琴键上旅行钢琴谱网,在琴键上旅行钢琴谱大全,虫虫钢琴谱下载
在琴键上旅行,在琴键上旅行钢琴谱,在琴键上旅行钢琴谱网,在琴键上旅行钢琴谱大全,虫虫钢琴谱下载
带上心爱的她去旅行吧简谱图片格式
在琴键上旅行钢琴谱 器乐乐谱 中国曲谱网
音符的旅行钢琴谱 器乐乐谱 中国曲谱网
革命人永远是年轻简谱
上一篇:陈奕迅简谱_陈奕迅简谱歌谱大全
下一篇:红歌简谱_红歌简谱歌谱大全



















